固定收益证券
固定收益证券概述
固定收益证券的概念与范畴
固定收益证券: 债务工具及相关衍生品(承诺在未来某个时间给投资者带来一定的现金流,承诺未必能兑现!普通股票没有这样的承诺)
- 对于权益证券,指具有债务性质的证券。
- 代表对未来一系列具有确定(或不确定)现金流收入要求权的证券。
- 特别强调,债券只是固定收益证券的一种。
基础性债务工具:
资本市场工具
- 国债
- 公司债
- 市政债券
货币市场工具
- 国库券
- 同业拆借
- 商业票据
- 银行承兑汇票
- 回购
固定收益证券衍生品
- 利率衍生品
- 远期利率协议
- 国债期货
- 欧洲美元期货
- 利率互换
- 利率期权
- 信用衍生品
- 信用违约互换
结构型债务工具
- 嵌入衍生产品
- 含权债券
- 收益连结型产品
- 资产证券化产品
- 抵押贷款支持证券
- 资产支持证券
固定收益证券在金融市场中的重要性
- 固定收益证券是金融市场上的基础性资产
- 固定收益证券是执行货币政策的重要工具
- 回购与逆回购
- 常备借贷便利(SLF)
- 中期借贷便利(MLF)
- 公开市场买卖国债
- 去哪寻找无风险利率?
- 国债市场的利率
- 回购市场的利率
- 商业银行同业拆借市场的利率
- 互换市场上的利率
- 发达的固定收益证券市场是形成基准利率的基础
- 融资与投资功能
债券的基本特征与主要投资风险






- 到期日
- 在到期日,债务人要清偿债权的本息
- 过了到期日,债券持有人不再获得现金流
票面利率
- 零息债券
- 贴现方式发行,发行价格低于面值
- 不附息票,形式上无利息支付
- 到期日时按面值一次性支付本利的债券
- 按照许多国家的法律规定,此类债券可以避免利息所得税
- 附息债券
- 按债券票面载明的利率及支付方式支付利息的债券
- 利息支付频率: 1年,半年
- 零息债券
附息债券的票面利率
- 固定利率债券
- 浮动利率债券
- 逆(反向)浮动利率:常数-基准利率
嵌入期权:改变现金流的权利
- 债券发行人(Call Option)
- 赎回期权:给予发行人在到期日之前部分或全部买回已发行的债券
- 投资者(Put Option)
- 回售期权
- 转换权利:可转换债券
- 交换权利
- 浮动利率的下限
- 债券发行人(Call Option)
信用风险
- 最直接的风险来自于违约:债务人不能按合约规定支付现金流(利息,本金)给证券持有人带来的风险
- 国债也有信用风险
- 信用价差风险
- 信用级别降低风险
- 事件风险:并购与公司重组,自然灾害,政治因素
- 赎回风险与提前偿还风险
- 购买力风险


债券定价与收益率衡量
债券的报价与定价
全价 = 净价 + 应计利息
通常用于贴现过程的贴现利率,也称为“必要收益率”
必要收益率 = 基准利率(无风险利率) + 风险溢价
几个重要的利率概念:
- 名义利率(Nominal interest rate)
- 实际利率(Real interest rate)
- 有效年利率(Effective annual interest rate, Annual equivalent rate(AER))
- 一个计息周期的利率(Periodic interest rate)
债券价格波动的部分原因:
- 必要收益率
- 发行人信用变化导致必要收益率的变动
- 可比债券收益率变化,导致必要收益率变动
- 无风险利率
- 即使必要收益率没变,折价或溢价发行的债券,随到期日临近,价格会变化,趋近于面值。

到期收益率
前提:
- 持有证券到期
- 不存在违约风险
- 再投资收益率 = 到期收益率
- 没有赎回,提前偿还等嵌入式期权
利率期限结构
收益率曲线
影响基准利差的因素:
- 债务人说是谁
- 债务人靠谱吗
- 借多长时间
- 有“附加”条款吗
- 可以避税吗
- 容易找下家吗
- 可以用于再融资吗
即期利率:给定某一时间上的零息债券的到期收益率.
到期收益率曲线与远期收益率曲线
即期利率与远期利率关系

即期利率曲线的构建
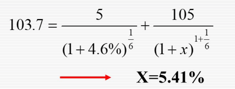
自助法:
- 直接从市场中得到不超过1年的零息债券的即期利率,如:

- 利用线性插值法或者其他方法,获得1年的零息债券的即期利率

- 分析期限在1-2年之间的债券,如一债券还有1年2月到期,息票利息是5%,价格是103.7,则有:

- 重复第三步,可以得到2-3年之间的即期利率,乃至n-1到n年之间的即期利率。
间接法
利率期限结构理论
完全预期理论
到期收益曲线所含的远期利率等于未来在该段时间上的即期利率。
在完全预期理论下,收益率曲线可以是向上,向下或者水平。
流动偏好理论
偏好理论
市场分割理论
- 某些投资者/借款人喜欢长期投资/借款(例如,寿险公司与退休基金)
- 其他投资者喜欢短期投资/借款(例如,商业银行)
- 市场中供给与需求的力量决定了各自的市场利率
债券本息剥离,合成与套利
债券的本息剥离
- 购买国债存入银行的托管账户
- 发行代表账户中每笔国债利息收入的所有权的收据,以及代表本金所有权的*收据
- 分别销售代表利息收入和本金收入的收据,而不是国债本身。
动机
- 增加手续费收入
- 赚取差价
零息债券,附息债券的合成
附息债券是零息债券的合成物
零息债券是附息债券的合成物
债券合成与套利
债券价格波动性度量
未附期权债券价格的波动特征
- 价格与收益率成反向变化关系
- 对应收益率的微小变动,价格上升或下降的变化百分比大致相同
- 对应收益率大幅变动,价格上升或下降的变动幅度不相同
- 对应收益率的大幅变动,价格上升的百分比要大于下降的百分比
久期及其应用
麦考利久期的定义和内涵
n:付利息的次数(每年支出利息1次)
C:每次支付的利息
M:面值,到期一次偿付本金



课堂练习: 计算一只5年期的零息债券的麦考利久期,面值是100元,当前价格88.
麦考利久期就是5
修正久期

美元久期

有效久期


运用久期世纪需要注意的问题
- 不要把久期当成时间的衡量指标
- 前提条件是利率曲线是平行移动的
- 以下结论只适用于未含嵌入式期权的债券
- 久期小于剩余到期期限
- 久期大于0
利用久期对冲风险

- 避险(Hedging)策略:卖空流动性强的国债
凸性

凸性值的定义



凸性的特征:
- 凸性衡量的是收益率——价格曲线弯曲的程度
- 凸性会随着到期收益率的增加而降低
- 非含权证券都有正的凸性
- 对于既定的收益率和到期日,息票率越低,债券的凸性越大
- 既定的收益率和到期日,零息债券的凸性最大
- 对于给定的收益率和修正久期,息票利率越低,债券的凸性越小。
- 既定的修正久期,零息债券的凸性最小。

附嵌入期权债券的分析
嵌入期权的类别
- 赎回期权
- 回售期权
- 可转换期权
- 可交换期权
债券的发行人获持有人拥有改变现金流的期权
可赎回和可回售债券的分析
企业为什么发行可赎回债券
- 规避利率风险
- 传递什么信号

传统收益率价差方法的缺陷

利率二叉树定价模型
定价原理
- 运用一个利率贴现所有债券所有现金流是不恰当的
- 贴现每笔现金流的正确利率是理论的即期利率
- 利率波动性将影响期权的价格,从而影响附有嵌入期权的债券价格。

蒙特卡洛模拟定价
可转换债券的条款
发行人需要关心的问题
可转债融资优势:
- 融资成本
- 优化资本结构
- 融资可行性
可转化债券的价值分析
可转换债券的定价模型
解析解
二叉树模型
蒙特卡洛模拟
可交换债券的案例
第七讲 债券组合管理策略
投资过程与策略选择

市场有效性:
- 债券价格行为:根据过去价格预测未来价格取得超额收益,则市场无效
- 市场对央行货币政策的反应:央行货币政策能及时反映在市场中,则相对有效
- 利率的预测:投资者通过分析已有信息,提前预测利率,获得超额收益,则无效
跟踪误差
消极的债券组合管理策略
为什么选择指数化策略:
- 历史经验数据表明,积极策略总体表现较差
- 与积极策略相比,指数化管理的咨询费用较低
- 组合管理者相信市场是有效率的
- 组合管理的目标是最小化与标准指数的误差
不能直接复制债券指数,因为
- 债券指数样本可能多达几千只
- 某些债券每天的交易量很少
- 构成指数的债券在不断变化
构成方法:
- 分层抽样法
- 不是完全复制指数
- 需要尽量与基准指数匹配的指标
- 久期
- 大于5
- 小于等于5
- 各债券种类的比重
- 信用风险
- AAA
- AA
- A
- BBB及其以下
- 期限权重
- 发行人类别
- 赎回因素
- 可赎回
- 不可赎回
- 久期
- 最优化法(跟踪误差最小)
积极的债券组合管理策略
积极策略:前瞻跟踪误差较大
消极策略:前瞻跟踪误差为零或很小
前瞻性跟踪误差表示了对积极策略的偏好程度
积极策略的前提条件
- 市场利率的可预测性(Called market timing):利率预测
- 市场是弱有效或非有效的(Called bongd picking):找出错误定价的债券
利率预测策略:
- 收益率曲线不会发生变化
- 收益率曲线会发现变化
- 水平变化
- 斜率变化
- 凸性变化



影响债券组合收益率的因素
- 利率的变动
- 收益率曲线的变化
- 债券之间收益率价差的变化
- 期权调整价差的变动
- 某种债券的收益率价差的变化
第八讲 利率互换,利率期货
什么是利率互换
利率互换:又称为利率掉期,指交易双方约定在未来的一定期限内,根据预定数量的名义本金和利率(固定,浮动)定期交换现金流的交易行为。
利率互换案例
为什么会存在利率互换:比较优势理论
当互换提供了一种在固定和浮动利率市场之间的“套利”机制后,市场差别将逐渐消失,比较优势不复存在,互换业务将逐渐失去价值。
利率互换提供了以下功能:
- 降低融资成本
- 利率风险的管理工具
- 增加了金融中介机构的收入
利率互换中固定利率的确定

利率互换的应用
远期利率协议
- 没有发生实际的贷款本金交付
- 不会在资产负债表上出现,从而也不必满足资本充足率方面的要求
- 场外市场交易的产品(有银行提供)
- 银行在各自的交易室中进行交易
特点
- 买房名义上答应去借款
- 卖房名义上答应去贷款
- 有特定数额的名义上的本金
- 以某一币种标价,固定的利率
- 有特定的期限,在未来某一双方约定的日期开始执行

利率期货
国债期货特点
- 虚拟标的
- 可交割现货及可交割价格差异化——一篮子可交割国债

国债期货的转换因子
- 每种国债和每个交割月份下的转换因子都是唯一的
- 在接下来的交割月份,息票率高于3%国债的转换因子变得较小,者反应了随着到期日的临近其价格向票面价格漂移。相似的,息票率低于3%的国债的转换因子在接下来的交易月份中向上移动
- 转换因子在交割周期里是保持不变的
- 转换因子是被用来计算国债期货合约交割时国债的发票价格
- 如果息票率大于3%,转换因子大于1;如果息票率小于3%,转换因子小于1
- 交易所在每个合约上市时向市场发布各上市合约的可交割债券和转换因子。
第九讲 信用衍生工具
总收益互换

总收益互换中,总收益的支付方实现了对债券的卖空。
实现了利率风险和信用风险的暴露

信用违约互换
参考实体:债务工具发行人
参考标的:特定的债券,寻求信用风险保护
信用违约事件:
- 破产
- 兼并中的信用违约事件
- 信用降级
- 债务结构调整



信用联结票据
第十讲 资产证券化及其相关产品
资产证券化过程与参与者
- 个人住房按揭抵押贷款:期限长,占用资金多
- 企业应收账款:存在坏账风险
- 信用卡消费:存在坏账风险
资产证券化可以被广泛地定义为一个过程,通过这个过程将具有共同特征的贷款,消费者分期付款合同,租约,应收账款和其他不流动的资产包装成可以市场化的,具有投资特征的带息证券。
转手证券
一个或多个抵押贷款人将抵押贷款打包形成抵押贷款组合,然后出售该组合的份额或者参与证书(证券)
只有一个信用级别
转手证券隐含了一个可赎回的权利
抵押担保债券
抵押担保本息剥离债券
债务抵押债券
B站学习笔记
第一章:固定收益证券概述
- 现代金融与传统金融
- 现代金融三类工具
- 权益证券
- 债券
- 衍生证券
第一节 固定收益证券的类型
固定收益证券的定义:
- 相对于权益证券而言,具有相对稳定现金流的证券
- 对未来发生的一系列收入现金流流的所有
- 承诺未来还本付息的债务工具以及相关衍生产品的总称
- 常见的形式:债券,即债权人与债务人之间的一种契约
固定收益证券的类型:
- 基础性债务工具:
- 资本市场工具(长期,一年以上)
- 货币市场工具(短期,一年之内)
- 衍生产品
- 利率衍生品
- 信用衍生品
- 结构型债务工具:
- 基础性债务工具&衍生产品
- 结构拆分&重组后形成的
常见的固定收益证券产品
- 利率债券
- 国债
- 地方政府债券
- 政策性金融债
- 政府支持的证券
- 公开发行公司债券
- 企业债券
- 公司债券
- 可交换公司债券
- 非公开发行公司债券
- 非公开发行公司债券
- 非公开发行可交换公司债券
- 创新创业可转换债券
- 证券公司次级债券
- 证券公司短期证券
- 创新品种
- 可续期公司债
- 绿色公司债
- 创新创业公司债
- 熊猫公司债
- 信用保护工具
- 信用保护合约
- 信用保护凭证
- 债券回购
- 通用质押式回购
- 质押式协议回购
- 质押式三方回购
- 公墓REITs
- 资产支持证券
- 企业资产支持证券
- 不动产投资信托
第二节 固定收益证券的要素和特征
固定证券的构成要素
- 债券发行人
- 债券承购人
- 债券所有人
- 债券名称
- 债券面额
- 债券票面利率
- 债券期限
- 债券发行价格


